Televisão 3D
Técnologia : Codificação
Visto o 3D implicar a codificação e transmissão de múltiplas imagens , cria se a necessidade de criar ferramentas mais eficientes, de modo a conseguirmos oferecer uma experiencia 3D completa, sem termos de ter uma perda grande na resolução de imagem, ou um grande aumento na banda necessária para o efeito .Em seguida explicamos alguns dos mais comuns formatos de codificação 3D.
2D-plus Depth Format
Este método, estereoscópico, criado pela philips leva a imagem 2D que se pretende juntamente com um mapa de profundidade dessa imagem. Nesse mapa a cada pixel é atribuído uma determinada profundidade, segundo tons de cinzento, quanto mais claro é o cinzento mais perto do espectador deverá estar a imagem.

Uma grande vantagem desta codificação é a compatibilidade com dispositivos anteriores 2D. Outra vantagem será o pouco aumento da banda necessária, esta na ordem dos 5% a 20% e a utilização de diferentes tamanhos de ecrãs para o sistema.
Convencional Stereo Format
Duas resoluções completas são codificadas de modo a explorar a independência não só temporal e espacial, mas também entre vistas.

Este método encontra se presente nos standards MPEG-2 video, MPEG-4 e MVC.
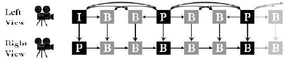
Multiview Video Coding (MVC)
Este é uma correcção ao standard de correcção do H.264/MPEG-4 AVC, que se limitava a explorar a redundância temporal e espacial de cada uma das vistas, desenvolvido pelo trabalho conjunto de MPEG/VCEG. A ideia nesta codificação é explorar tanto a redundância espacial como temporal mas também em explorar a redundância entre vistas de modo a obter uma melhor compressão do que apenas comprimir cada uma das vistas independentemente umas das outras.

Nesta codificação não havendo só uma estrutura de predição temporal e espacial, mas também entre vistas, tem o revés de ter um maior atraso, assim como a necessidade de maiores memórias. MVC também é compatível com H.264/AVC o que permite a sistemas mais antigos descodificar a imagem 2D e ignorar a informação adicional. Este formato também oferece a hipótese de mudar de pontos de vistas de uma maneira livre, ente as vistas avaliáveis. Porém o caso mais relevante será o que apenas tem 2 imagens, uma para cada olho.
Frame Compatible Stereo Format
Neste método juntam se os pixéis das duas imagens numa única frame e esta é codificada como uma imagem 2D, neste tipo de codificação metade da imagem representará a imagem da direita e outra metade a da esquerda , fazendo assim que metade da resolução que se teria com o mesmo débito em 2D seja perdida.

Alguns outros métodos poderão ser encontrados como é o exemplo da Multiview plus depth (MVD) porém considerámos os referidos serem os mais relevantes
Trabalho realizado por Pedro Simão e Tiago Catarrunas
no âmbito da cadeira Comunicação de Áudio e Vídeo do curso de MEEC